—— ——
在UPS电源及直流系统维护中,经常测量铅酸电池内阻,判断是否劣化,那么内阻和容量有没有可以等效衡量公式呢?大于1.5倍(见标准DL/T 637-2019),对应的剩余容量是多少呢?
“用户应关注蓄电池内阻值的显著变化。内阻的变化幅度与蓄电池类型、测量仪器和失效机制有关。通常电阻值 (阻抗值)超过基准值50%或电导值低于基准值30%,表明蓄电池内部已经劣化,可以进行更换。变化小于这些值可能表明蓄电池内部出现问题,可通过放电进行确认。”
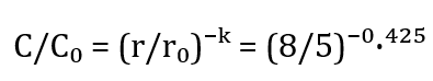
在铅酸蓄电池中,内阻 r与容量 C涉及到配方、极板、装配结构多个因素,这里根据前辈们的多年来试验数据,给出了容量、内阻和极板厚度的关系式,误差在±8%。如图:


例如:固定型阀控式铅酸电池12V 100AH,标称内阻5mΩ,测量内阻8mΩ,极板厚度假设是4.5mm
计算如下:
厚度指数k = 0.29 + 0.03 × 4.5 = 0.425